• Hallo Gast, wir suchen den Renner der Woche 🚴 - vielleicht hast du ein passendes Rennrad in deiner Garage? Alle Infos

Wahoo roam 2.0?

Nachtrag: ich habe den Roam V2 mittlerweile zurückgesetzt und ohne Backup erneut eingerichtet. Doch am letzten Wochenende verweigerte er unterwegs erneut die Navigation und hat nur noch das 60 Km entfernte Ziel als nächsten Cue Point / Abbiegehinweis angezeigt (ich hatte das Problem hier zuvor schon mehrfach beschrieben).
Das hatte ich mit dem Roam v2 ebenfalls..
 
Das hatte ich mit dem Roam v2 ebenfalls..
Es ist allerdings kein Hardware-Problem. Ich habe das Problem bereits seit Monaten als ich noch mit dem V1 gefahren bin. Natürlich immer nur vereinzelt, keinesfalls bei jeder Fahrt. Wahoo hat bestätigt, dass das Problem bekannt ist und Hardware-unabhängig auftreten kann.
 
Ich hatte das Problem seit Jahren nur jetzt mit dem neuen Roam v2. Parallel fuhr ein Bolt v2 mit gleicher Route und der hatte nichts. Neustart hatte auch nicht geholfen.
 
Ich habe dieses Navigationsproblem weder auf Roam v1 noch auf Roam v2. Im Netz wird es aber viel thematisiert. Ursache ist zumindest der Nutzergruppe völlig unklar.
Zudem finde ich die Akku-Laufzeit weiterhin recht mittelmäßig. Derzeit verbraucht mein Roam V2 ca. 10% / Stunde.
Akkulaufzeit ist bei mir so ziemlich identisch zu meinem abgelösten Roam v1.
 
Zuletzt bearbeitet:
Es ist allerdings kein Hardware-Problem. Ich habe das Problem bereits seit Monaten als ich noch mit dem V1 gefahren bin.
Die Software für die Elemnt-Geräte besteht meines Wissens nach aus

-Android (OS)

-Boltlauncher (scheinbar gerätespezifisch)

und

-bolt.apk : die eigentliche Navigationssoftware und für alle Geräte gleich

Wenn also ein Bug in letzterer App ist, dann sollten alle Modelle betroffen sein. Schleierhaft ist allerdings wieso manche Nutzer den Fehler nicht haben.
 
Zuletzt bearbeitet:
Schleierhaft ist allerdings wieso manche Nutzer den Fehler nicht haben.
Naja, er tritt auch bei mir nur vereinzelt auf und ich fahre sehr viel. Kann mir vorstellen, dass andere Nutzer schlicht nicht darauf stoßen oder die Bedingungen für diesen Bug sehr spezifisch sind. Beim Roam V2 ist es bisher, glaube ich, nur aufgetreten wenn ich Routen via Elemnt App vom iPhone zur Head Unit übertragen habe.

Das mag Zufall sein. Beim V1 ist es definitiv auch aufgetreten nachdem ich eine über WLAN synchronisierte Route geladen habe. Normalerweise gehe ich immer den Weg über WLAN Sync. Bluetooth nutze ich nur wenn ich unterwegs etwas ändern muss.

Zur Akkulaufzeit: Würdest du denn die 10% Akku je Stunde bestätigen? Mir erscheint das zu wenig. Mein V1 Akku hielt auch nicht mehr wesentlich länger, aber er war eben schon recht alt. Aktuell würde ich beim V2 hochgerechnet keine 17 Stunden fahren können. Und ich nutze keinerlei Tracking, Notifications oder andere ans iPhone gebundene Features.
 
Zur Akkulaufzeit: Würdest du denn die 10% Akku je Stunde bestätigen?
Nein, ich würde auf ~6% tippen. Bei der Kälte vielleicht etwas höher. Verbunden ist bei mir Puls, Radar, Dual-PM, Speedsensor, smartphone.

Ich werde das aber nochmal exakt beobachten. Schwierig ist halt dass die Entladung laut Prozentanzeige überhaupt nicht linear ist.
 
Ahoi Jungs,

lese seit Jahren immer mal wieder passiv mit; seitdem ich massive Probleme mit dem RoamV2 habe wollte ich mal was bei steuern.

Ich hatte 3 Jahre den RoamV1 - davor Bolt und davor "ur" Elemnt - nie Probleme. Im August letztes Jahr den Roamv2 gekauft und wirklich unzufrieden und nur Probleme.

  • Synchronisation mit Komoot schlecht / fällt oft aus
  • Synchronisation der Touren nach Aufzeichnung oft Probleme
  • Reverse Fahrten mit der Elemnt App (iOS) nicht mehr möglich
  • Übertragung von Komoot Touren unterwegs (per BT ohne WLAN) oft nicht möglich – hilft nur AP mit Handy bilden
  • Laden (Übertragen von Touren unterwegs von iPhone auf Roam oft nicht möglich ("Synchronisiert" sich tot und nichts passiert)
  • "Bring mich" Funktion funktioniert unterwegs oft nicht mehr zu meinem Favoriten (z.B. zu Hause)
  • Abbiegehinweise oft falsch (Falsche Richtung, abbiegen statt geradeaus,..)

Danach habe ich bestimmt 10x Kontakt mit dem Wahoo Support aufgenommen und das Gerät wurde getauscht - keine Änderung mit dem neuen Gerät - daraufhin konnte ich den V2 zurück geben und habe mir den v1 gebraucht gekauft - und siehe da: GLEICHE PROBLEME!! unglaublich....

Roamv2 spezifisch:
  • Kein Kompass in Kartenansicht, wenn kein Datenfeld eingeblendet (Fullscreen)
  • Schrift der Nachrichten (WhatsApp, Mail, SMS) viel zu klein!
  • Detaillierte Bodenbeschaffenheit der Wege/Straßen nur grau und schlecht

Danach hat der Support dann endlich bestätigt, das es ein allg. Problem mit ALLEN Geräten gibt (ob es nun an der App oder FW liegt weiß ich nicht und wurde nicht näher genannt)! Es werde mit Hochdruck an den Lösungen gearbeitet (z.Zt. letztes Update 16.11.2022 !)

Wenn ich das alles früher gewusst hätte, hatte ich mir den ganzen Quatsch mit Tausch/Rückgabe des Geräts usw. sparen können…sehr traurig.

Am Schlimmsten ist für mich der Fehler der nicht reverse ladebaren Touren über die App. Das nutze ich am häufigsten (unterwegs). Sie werden zwar in der App richtig angezeigt - jedoch von den Roam's nicht umgesetzt. Zum Anfang bin ich echt irre geworden .... ständiges re-Routing usw.

Gruß, Micha
 

Anhänge

  • IMG_7749.JPG
    IMG_7749.JPG
    142,3 KB · Aufrufe: 140
  • IMG_7757.JPG
    IMG_7757.JPG
    147,3 KB · Aufrufe: 141
Zuletzt bearbeitet:
Nein, ich würde auf ~6% tippen. Bei der Kälte vielleicht etwas höher. Verbunden ist bei mir Puls, Radar, Dual-PM, Speedsensor, smartphone.

Ich werde das aber nochmal exakt beobachten. Schwierig ist halt dass die Entladung laut Prozentanzeige überhaupt nicht linear ist.

Heute hat der Roam sich auf einer dreistündigen 90 Km Fahrt von 100% auf 66% entladen. Kann das allein durch die Kälte erklärt werden? Hatte ich beim V1 so nicht wahrgenommen. Zudem hat das Gerät unterwegs erneut die Navigation versagt.

Mittlerweile nervt es etwas.
 
Heute hat der Roam sich auf einer dreistündigen 90 Km Fahrt von 100% auf 66% entladen. Kann das allein durch die Kälte erklärt werden?
Ich fürchte ja. Ich bin heute auch insgesamt 3,5h unterwegs gewesen bei etwa -3°C und habe dabei 30% verloren. Das ist eine deutlich höhere Entladung als ich sonst beobachte. Mein Varia ist in der Kälte im Verhältnis sogar noch schlechter.

E-Autos verlieren im Winter im Schnitt 20% Reichweite und die dürften ein weit klügeres Energiemanagement haben und die Akkus besser vor den Wetterverhältnissen geschützt sein.

Ich werde mal etwas suchen, ob man irgendwie die Entladung beobachten kann. Ist ja ein Android.
 
Ich fürchte ja. Ich bin heute auch insgesamt 3,5h unterwegs gewesen bei etwa -3°C und habe dabei 30% verloren. Das ist eine deutlich höhere Entladung als ich sonst beobachte. Mein Varia ist in der Kälte im Verhältnis sogar noch schlechter.

E-Autos verlieren im Winter im Schnitt 20% Reichweite und die dürften ein weit klügeres Energiemanagement haben und die Akkus besser vor den Wetterverhältnissen geschützt sein.

Ich werde mal etwas suchen, ob man irgendwie die Entladung beobachten kann. Ist ja ein Android.
Gut, das beruhigt mich etwas.
 
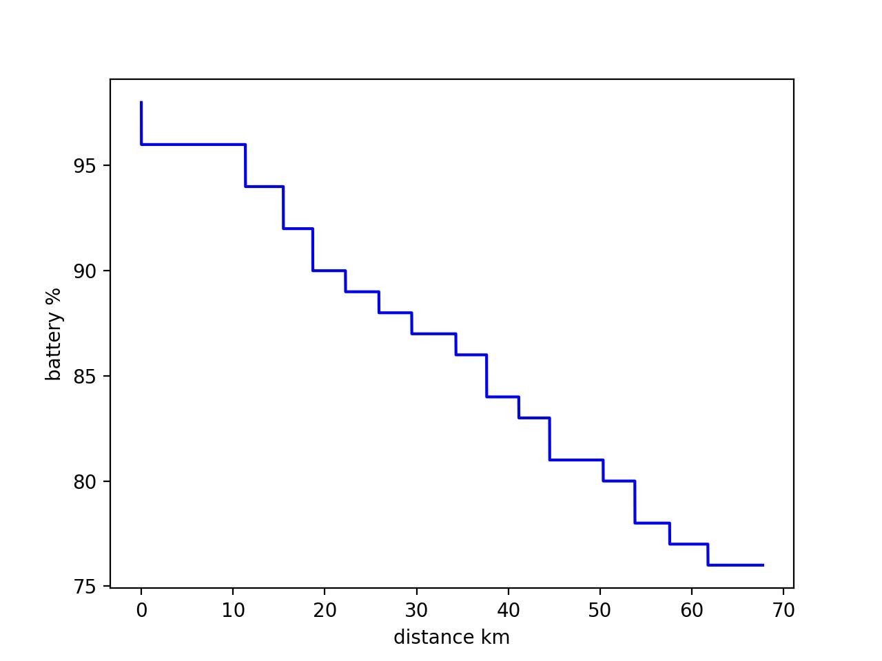
Ich habe das Thema Entladung eben in der Wahoo-Telegramgruppe thematisiert und ein freundliches Gruppenmitglied hat mal eben ein pyhton-Skript geschrieben, dass die Akkudaten aus dem Fit-File ausliest und plottet.

Hier mal exemplarisch:

battery_over_distance.jpg
Das ist die Entladung über die Distanz. Auffällig ist hier das die ersten 4-5% quasi beim Einschalten direkt verpuffen. Die Entladung scheint generell sehr ungleichmäßig.

battery_over_latlon.jpg
Hier die Entladung auf den GPS-Track bezogen. In diesem Fall bleibt die Linie grün, weil die Spannung nicht unter den Grenzwert 75% gefallen ist.

Skript:
https://gist.github.com/Intyre/318360436018ed19ae4959ad14869029
 
Ich habe das Thema Entladung eben in der Wahoo-Telegramgruppe thematisiert und ein freundliches Gruppenmitglied hat mal eben ein pyhton-Skript geschrieben, dass die Akkudaten aus dem Fit-File ausliest und plottet.

Hier mal exemplarisch:

Anhang anzeigen 1205942
Das ist die Entladung über die Distanz. Auffällig ist hier das die ersten 4-5% quasi beim Einschalten direkt verpuffen. Die Entladung scheint generell sehr ungleichmäßig.

Anhang anzeigen 1205944
Hier die Entladung auf den GPS-Track bezogen. In diesem Fall bleibt die Linie grün, weil die Spannung nicht unter den Grenzwert 75% gefallen ist.

Skript:
https://gist.github.com/Intyre/318360436018ed19ae4959ad14869029
Dass ein frischgeladener (LiPo) Akku gleich zu Anfang etwas einbricht scheint mir normal zu sein. Die werden ja bis zur Ladeschlußspannung geladen und pendeln sich dann erst mal etwas ein. Bei Belastung - und wenn man das in protokolierter Form vorliegen hat - fällt das natürlich auf. Zumal diese Prozentanzeigen eh immer etwas fehlerbehaftet sind.

Denke aber auch, dass es mit der Kälte zusammenhängt. Mein Edge und mein alter Bolt 1 haben gestern in relativ kurzer Zeit auch wesentlich mehr Prozentwerte eingebüßt als das normal der Fall ist. Auch bei meinem Lezyne GPS, den ich am Alltagsrad fahre, tritt dieses Phänomen auf (da sogar ganz besonders krass, da ist aber auch ein kleiner Akku verbaut, weil der Lezyne Mini Enhanced ein sehr kleines Gerät ist, sodass sich dieses Phänomen wohl verstärkt).

Sollte man weiter beobachten, denke aber, dass die Entladungskurve bei höheren Temperaturen dann wieder gestreckter aussehen wird.
 
Heute eine kurze Ausfahrt mit Licht und Schatten. Der Akku hat sich bei 3 Grad gut gehalten: Lediglich 6% habe ich bei einer Fahrzeit von 01:20 h einbüßen müssen. Wenn auch ohne Leistungsmesser und Di2.

Dem gegenüber steht, dass auch heute erneut die Navigation den Dienst verweigerte. Wie auch beim letzten Mal trat das Problem bereits innerhalb der ersten 5 Kilometer auf. Weiterhin fällt mir auf, dass der Wahoo kurz Auftreten des Problems merkwürdige Abbiegehinweise gibt, die viel zu früh erscheinen (mehrere Hundert Meter oder gar Kilometer zu früh). Auf der Karte ist meine Position währenddessen dennoch korrekt. Ist der Punkt erreicht an dem man vermeintlich abbiegen soll (aber natürlich nicht kann weil der Zeitpunkt nicht stimmt), scheint das Gerät im nächsten Moment aufzugeben und einfach das Ziel als nächsten Abbiegehinweis zu verkünden - gestern beispielsweise in 85 Km Entfernung :-/

Auf der Karte kann man die Strecke weiterhin korrekt verfolgen, aber sämtliche Abbiegehinweise bleiben aus. Auch erneutes Laden, Ändern, Synchronisieren der Strecke hilft nicht.
 
Vielleicht ist es weil ich nicht täglich die Routenführung verwende (ich finde noch alleine ums Haus ;)), aber ich kenne solche Probleme nicht. Kommt das mit Strava Routen auch vor, oder verwendet ihr alle Komoot?
Möglicherweise liegt es auch an der Quelle oder dem Ökosystem.
Smartphone OS: Apple
Routenplanung: 100% Strava
 
Zuletzt bearbeitet:
Ich selbst nutze noch den Roam v1. Dieser wird Offroad mit dem MTB aber auch Onroad mit dem Rennrad auf längeren gerouteten Strecken verwendet.
Mir ist jetzt auch nach 2 Jahren noch nicht einmal untergekommen, dass die Navigation versagte. Auch nicht bei 200km Touren mit unzähligen Abbiegungen.
Smartphone OS: Android
Routenplanung: 100% Komoot.
 
Bei mir fing es vor etwa einem halben Jahr an. Zuvor bin ich jahrelang nie auf das Problem gestoßen.

Plattform: iOS
Routenplanung: Komoot
 
Genau das gleiche bei mir - bis vor einem halben Jahr nie Probleme gehabt - jetzt wie in meinem Post beschrieben die wildesten Probleme.

Antwort vom Support seit Ende letzten Jahres "..dass es sich bei den Problemen um bekannte Fehler handelt, die sind in Arbeit...Die Firmware unserer Radcomputer ist bei allen Modellen weitestgehend gleich, es ist daher abzusehen, dass etwaige Fehler dann auch überall auftreten und ein Zurückgehen auf den ROAM1 hier nichts ändert. Ich muss Dich jetzt hier leider einfach um Geduld bitten. "
 
Zurück